公示 | 人工智能学院团总支2025年秋季入团积极分子名单公示
2025年秋季
入团积极分子名单公示
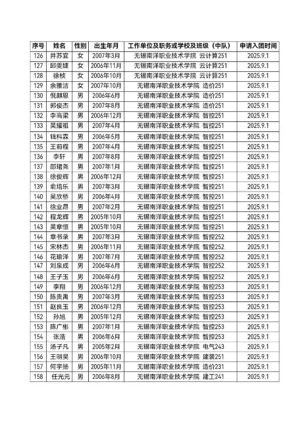
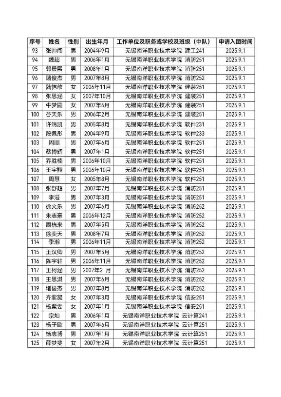
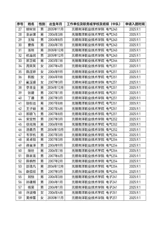
为严把团员“入口关”,提升队伍先进性,我院严格依据《中国共产主义青年团章程》《共青团基层组织建设工作手册》,结合实际工作开展团员发展。经个人申请、团支部推荐、团总支审核,现确定168名同学为入团积极分子,公示名单如下 。

公示详情
公示时间:2025年10月13日至10月19日
公示名单:具体名单可在系部公告栏查询。
反馈方式:如公示对象存在问题,欢迎广大团员群众通过来电、来信、来访反映。以个人名义信函反映问题必须署真实姓名。
联系人:陈志浩
联系电话:13173661505
公示地点:慎思C309门口公示栏
图片来源:陈志浩
文稿审核:金志学
责任编辑:陈志浩